Analogien bei mechanischen und elektromagnetischen gedämpften Schwingungen

Charakteristikmechanische Schwingung elektromagnetische Schwingung
Schwingungsgleichung
ungedämpfte Kreisfrequenz
gedämpfte Kreisfrequenz
Abklingkonstante
Dämpfungsgrad
Güte

: Masse, : Induktivität, : Richtgröße (Feder o.ä.), : Kapazität, : Dämpfungskonstante, : ohmscher Widerstand.

Parallelschwingkreis

Parallelschwingkreis,  Parallelschaltung von Widerstand, Induktivität und Kapazität. Die Berechnung des komplexen Leitwerts erfolgt nach der Knotenregel.

Die folgende Abbildung zeigt die Charakteristika eines Parallelschwingkreises, (a): Symbol, (b): Ortskurve des komplexen Leitwerts, (c): Strom-Spannungs-Zeigerdiagramm.

Der komplexe Leitwert beträgt:

 

Parallelschwingkreis
Symbol Einheit Benennung
S komplexer Gesamtleitwert
ohmscher Widerstand
Kreisfrequenz
H Induktivität
F Kapazität
1 imaginäre Einheit

Der Wirkleitwert ist gleich dem Leitwert des ohmschen Widerstands:

 

\begin{displaymath}G=\frac{1}{R}\,.
\end{displaymath}

 

Der Blindleitwert ist gleich der Summe der Blindleitwerte von Kapazität und Induktivität:

 

\begin{displaymath}B=\left(\omega C-\frac{1}{\omega L}\right)\,.
\end{displaymath}

 

Der Blindleitwert ist abhängig von der Frequenz , er verschwindet bei der Resonanzfrequenz.

Der Scheinleitwert beträgt:

 

\begin{displaymath}Y=\sqrt{\frac{1}{R^2}+\left(\omega C -\frac{1}{\omega L}\right)^2}\,.
\end{displaymath}

 

Der Phasenwinkel des komplexen Leitwerts lautet:

 

\begin{displaymath}\varphi_Y=\arctan\left(\omega RC-\frac{R}{\omega L}\right)\,.
\end{displaymath}

Resonanz im Parallelschwingkreis

Resonanz, tritt ein, wenn sich die Blindleitwerte von Induktivität und Kapazität kompensieren.

Regel In der Resonanz ist der Gesamtleitwert reell und gleich dem Kehrwert des ohmschen Widerstands.

Parallelresonanz, bezeichnet die Resonanz im Parallelschwingkreis.

Resonanzfrequenz, , Frequenz, bei der die Resonanz eintritt,

 

\begin{displaymath}f_r=\frac{1}{2\pi}\frac{1}{\sqrt{LC}}\,.
\end{displaymath}

 

Bei der Resonanzfrequenz im Parallelschwingkreis wird der Strom minimal, der Phasenwinkel ändert sich um 180.

Regel In der Resonanz ist der Gesamtwiderstand maximal und reell.

Hinweis Der Parallelschwingkreis wirkt als Sperrkreis.

Regel Unterhalb der Resonanzfrequenz eilt die Spannung dem Strom voraus. Oberhalb der Resonanzfrequenz eilt der Strom der Spannung voraus.

Regel Bei der Resonanzfrequenz sind Strom und Spannung in Phase.

Die nachfolgende Abbildung zeigt die Charakteristika eines Parallelschwingkreises, (a): Strom-Spannungs-Zeigerdiagramm bei Resonanz, (b): Stromamplitude und (c): Phasenwinkel für endliche Güte.

Güte, des Parallelschwingkreises, , Verhältnis von induktivem oder kapazitivem Blindleitwert an der Resonanz zum Wirkleitwert der Parallelschaltung:

 

\begin{displaymath}Q_P=\frac{Y_0}{G}\,.
\end{displaymath}

 

Je kleiner die Güte ist, um so schneller klingt die Schwingung im Schwingkreis ab; die Schwingung ist desto stärker gedämpft, die Resonanzkurve zeigt ein um so breiteres Minimum.

Dämpfungsfaktor des Parallelschwingkreises, , Kehrwert der Güte ,

 

\begin{displaymath}d_P=\frac{1}{Q_P}\,.
\end{displaymath}

 

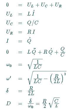
Gedämpfter elektrischer Schwingkreis




Gedämpfter elektrischer Schwingkreis  , enthält zusätzlich zu Kondensator und Spule noch einen ohmschen Widerstand .

Die Abbildung zeigt einen gedämpften elektrischer Schwingkreis aus Kondensator , Spule und ohmschem Widerstand .
Gedämpfter elektrischer Schwingkreis
Symbol Einheit Benennung
C Ladung des Kondensators
V Spannung an Spule
V Spannung am Kondensator
V Spannung am Widerstand
A Strom
s Zeit
Widerstand
Vs/A Induktivität
As/V Kapazität
rad/s Kreisfrequenz
ungedämpfte Schwingung
rad/s Kreisfrequenz
gedämpfte Schwingung
1/s Abklingkonstante
1 Dämpfungsgrad

Resonanz im Reihenschwingkreis

Resonanz, tritt auf, wenn sich der kapazitive und induktive Blindwiderstand aufheben. Der Gesamtwiderstand ist dann reell und gleich dem ohmschen Widerstand. Der Strom ist bei gegebener Gesamtspannung maximal.

Reihenresonanz,  bezeichnet die Resonanz im Reihenschwingkreis.

Resonanzfrequenz, ergibt sich bei gegebener Induktivität und Kapazität zu

 

\begin{displaymath}f_r=\frac{1}{2\pi}\frac{1}{\sqrt{LC}}\,.
\end{displaymath}

 

Bei der Resonanzfrequenz wird im Reihenschwingkreis die Stromstärke maximal, der Phasenwinkel ändert sich um 180.

Regel In der Resonanz ist der Gesamtwiderstand minimal und rein reell.

Regel Unterhalb der Resonanzfrequenz eilt der Gesamtstrom der Gesamtspannung voraus, oberhalb der Resonanzfrequenz eilt die Gesamtspannung dem Gesamtstrom voraus.

Regel Bei der Resonanzfrequenz sind Gesamtstrom und Gesamtspannung in Phase.

Die nachfolgende Abbildung illustriert den Reihenschwingkreis, (a): Strom-Spannungs-Zeigerdiagramm für Resonanz, (b): Stromamplitude und (c): Phasenwinkel für endliche Güte.

Güte des Reihenschwingkreises, , Verhältnis von induktivem oder kapazitivem Blindwiderstand an der Resonanz zum Wirkwiderstand der Reihenschaltung:

 

\begin{displaymath}Q_R=\frac{X_0}{R}\,.
\end{displaymath}

 

Regel Je kleiner die Güte ist, um so schneller klingt die Schwingung im Schwingkreis ab; die Schwingung ist desto stärker gedämpft, die Resonanzkurve zeigt ein um so breiteres Maximum.

Dämpfungsfaktor des Reihenschwingkreises, , Kehrwert der Güte ,

 

\begin{displaymath}d_R=\frac{1}{Q_R}\,.
\end{displaymath}

Äquivalenz von Reihenschaltung und Parallelschaltung

Eine aus ohmschem Widerstand   und Blindwiderstand (Induktivität bzw. Kapazität) bestehende Reihenschaltung lässt sich - für eine bestimmte Kreisfrequenz - als Parallelschaltung darstellen.

Regel Parallelschaltung und Reihenschaltung eines ohmschen Widerstands und eines Blindwiderstands verhalten sich gleich, wenn der komplexe Widerstand beider Schaltungen gleich ist.

Regel Die Äquivalenz gilt nur bei einer bestimmten Frequenz . Bei einer anderen Frequenz ergeben sich unterschiedliche komplexe Widerstände für Reihen- und Parallelschaltung.

Regel Die Äquivalenz gilt nur für sinusförmige Spannungen und Ströme.

Die Abbildung illustriert äquivalente Umwandlungen von Reihen- und Parallelschaltungen für eine feste Frequenz .

 

Parallelschaltung Reihenschaltung
Symbol Einheit Benennung
Wirkwiderstand der Reihenschaltung
Blindwiderstand der Reihenschaltung
S Wirkleitwert der Parallelschaltung
S Blindleitwert der Parallelschaltung

 

Reihenschaltung Parallelschaltung
Symbol Einheit Benennung
S Wirkleitwert der Parallelschaltung
S Blindleitwert der Parallelschaltung
Wirkwiderstand der Reihenschaltung
Blindwiderstand der Reihenschaltung

Quelle: http://cdrom2.ub.uni-leipzig.de/TBPhys/daten/kap_8/node40.htm